Blog 8: Decoding BESS LFL Explosion Risk
Battery Energy Storage Systems (BESS) are the backbone of the energy transition, but their rapid deployment has a critical challenge: fire and explosion risk. To ensure safe operation, the industry is shifting from purely reactive fire suppression to proactive explosion prevention. At the heart of this shift lies a single, vital metric: the Lower Flammability Limit (LFL) of the gas released during a battery cell failure.
This blog provides a detailed overview for engineers, developers, and operators on why LFL calculations are paramount, where to find the data in UL test reports, and how to perform the crucial calculations to design effective mitigation strategies.
The Importance of LFL in BESS Safety: Prevention, Not Just Suppression
LFL is the lowest concentration of a flammable gas or vapor in air capable of igniting in the presence of an ignition source. For BESS, the danger arises from thermal runaway—a catastrophic failure state where a cell rapidly self-heats, releasing a voluminous cloud of flammable, toxic, and hot gases (outgassing).
Why LFL Is the Key to Explosion Prevention:
Explosion vs. Fire: While a battery fire is destructive, a confined explosion is catastrophic. A fire consumes fuel; an explosion releases energy in a rapid, high-pressure pulse that can destroy enclosures, nearby buildings, and injure first responders.
Accumulation is the Hazard: The vent gases are only dangerous if they can accumulate. Ventilation or deflagration venting must be sized to keep the gas concentration below the LFL at all times.
The Gold Standard Limit: Recognizing this, safety codes like NFPA 855 mandate that flammable gas accumulation must not exceed a conservative threshold of 25% of the LFL. Knowing the exact LFL of the unique gas mixture generated by a specific battery cell is the only way to calculate and adhere to this safety limit.
Where to Find Data: The Interplay Between UL 1973 and UL 9540A
To perform an accurate LFL calculation, you need the input data: the volume and exact composition of the gases released. This information is a direct output of specific safety tests.
UL 1973: The Gatekeeper for Battery Packs
UL 1973 is the safety standard for the battery system (modules and racks). While a UL 1973 certification validates that the battery can withstand certain abuse conditions, it is not the source of detailed vent gas analysis. Its reports may simply state whether a thermal runaway propagated beyond a single cell.
UL 9540A: The Source of Truth for Gas Data
UL 9540A is the test method for evaluating fire and explosion propagation. The Cell-Level Test (detailed in UL 9540A) is the definitive source for outgassing analysis.
Where to look: The detailed data is typically found in the UL 9540A Cell-Level Test Report, which may be included as an annex or referenced by the UL 1973 or UL 9540 (system-level) listing documentation.
What you must locate: Look for a section titled "Gas Analysis and Composition." This section will contain a table listing specific gas species and their measured concentrations (in mole % or volume %).
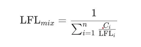
Calculating LFL mix: Le Chatelier's Law and the Aggregate Hazard
The gases released by a failing Lithium-ion cell are complex. They are not just one gas like methane. The mixture typically includes high concentrations of hydrogen (H₂), carbon monoxide (CO), and various hydrocarbons, often along with non-flammable diluents like carbon dioxide (CO₂) and nitrogen (N₂).
Each flammable component has its own pure LFL. The goal is to determine the aggregate LFL mix of this unique, composite gas. The universal method to do this is Le Chatelier's Law, which states that the LFL of a mixture is the inverse of the sum of the fractional LFL contributions of each component.
The Le Chatelier's Formula
Where:
Worked Example: Calculating LFL for an LFP Cell
Let's assume a UL 9540A report for an LFP (Lithium Iron Phosphate) cell provides the following outgassing composition. Note: This data is representative; always use the actual data from the report.
Result: In this hypothetical case, the specific vent gas from this LFP cell becomes an explosion hazard when it accumulates to just 5.26% by volume in the air within the BESS enclosure.
Mitigation Strategies: From Code Limits to Best Practices
Knowing the $\text{LFL}_{mix}$ is only useful if it informs action. The calculations you perform are the direct input for sizing safety systems.
Applying the NFPA 855 Limit: 25% of LFL mix
The absolute critical safety bound in BESS design is the conservative threshold of 25% of the aggregate LFL. For our worked example:
The entire BESS explosion prevention system (ventilation, sensors, and deflagration venting) must ensure that the vent gas from the worst-case single-cell failure never exceeds 1.32% by volume anywhere in the enclosure.
Other Important Parameters in the Report
While LFL is fundamental, a holistic explosion prevention analysis also uses other parameters found in the same section of the UL 9540A report:
Upper Flammability Limit (UFL): Defines the rich limit above which the mixture will not burn. (Range = UFL - LFL).
Max Explosion Pressure (Pmax): A critical number for structural engineers sizing the deflagration (explosion) venting.
Burning Velocity (Su): Affects the rate of pressure rise and is also used in sizing deflagration vents.
Conclusion: Data is the Foundation of Safety
LFL is not just a regulatory compliance number; it is the fundamental indicator of risk. An erroneous LFL calculation means your ventilation system may be undersized, and your enclosure is a bomb waiting to ignite. A rigorous, accurate LFL analysis using authentic cell-level outgassing data from a UL 9540A Cell-Level Test Report is the only way to validate that a BESS design can truly prevent an explosion. In this domain, data is not just power; it is the cornerstone of life-critical safety.
Key Takeaways for BESS Professionals:
Prevent, don't just suppress.
The limit is 25% LFL, not 100%.
The correct data is in the UL 9540A Cell-Level Test Report.
Le Chatelier’s Law is the universal tool.
Validate mitigation with simulation.

